公众号
医学论文与统计分析公众号
扫码关注公众号

统计咨询
添加助教微信即可咨询
添加助教微信即可咨询

意见反馈
邮箱:17357190071@163.com
微信:aq566665

Charls新作!中国学者用国产数据库揭开老年人肌肉流失的秘密,全新思路拿下一区9分+

Administrator
发布于 2025-09-01 / 68 阅读
0
0

自己人不骗自己人,Charls数据库真的好发文!今天分享的这篇文章就基于我们的国产数据库—CHARLS,探讨了老年人肌肉减少症状态的转变模式,为老年人的肌肉健康的早期干预提供了重要的科学依据。

2024年7月12日,中国学者采用CHARLS数据库,在期刊《Journal of Cachexia Sarcopenia and Muscle》(医学一区top,IF=9.4)发表题为“Bidirectional transitions of sarcopenia states in older adults: The longitudinal evidence from CHARLS”研究论文,在先前的研究中观察到在一些慢性病中存在疾病状态的双向转换,但这种状态的转变在肌肉减少症中却尚未明确。本研究旨在调查肌肉减少状态的潜在转变模式,包括从可能的肌肉减少症状态恢复到正常状态,以及从正常状态恶化为可能的或明确的肌肉减少症状态。

研究结果强调了老年人肌肉减少状态的双向转变,并揭示了相当一的肌肉减少症患者在自然过程中具有恢复至健康的潜力。

公共数据库与孟德尔随机化公众号回复“ 原文”即可获得文献PDF等资料,如果需要Charls公共数据库挖掘学习与指导请联系郑老师团队,详情可添加助教微信:aq566665

肌肉减少症是老年人中常见的一类疾病,主要特征是,骨骼肌质量(SMM)和功能的逐渐丧失。有研究表明,该疾病会增加老年人跌倒和骨骼的风险,导致患者失去独立生存能力,甚至死亡。

随着人口老龄化的发展,肌肉减少症发病率将持续上升。在先前的研究中发现,部分慢性病在长期发展的过程中疾病的状态存在双向转换,可能患病的患者在自然发展过程中恢复健康,也有可能确证为患病状态。

老年人肌肉状态是否能恢复?

研究纳入了CHARLS数据库2011-2018年4395名年龄≥60岁的参与者,中位年龄为67岁,49.2%为女性,其中1628(37.0%)人是非肌肉减少症,2014(45.8%)人可能是肌肉减少症,753(17.1%)人是肌肉减少症。

至随访时间结束,共有10778份肌肉减少症状态评估记录,平均随访期为3.29年。据统计,共有24.5%恢复为非肌肉减少症,60.3%仍然可能存在肌肉减少症,6.7%进展为肌肉减少症,8.5%在下一次随访时死亡。

对于可能患有肌肉减少症的个体,恢复至非肌肉减少症的转变强度是恶化至肌肉减少症的转变强度的2.8倍。

于可能患有肌肉减少症的个体,在1年观察期内恢复为非肌肉减少症、进展为肌肉减少症和转变为死亡的估计概率分别为0.181、0.066和0.035。

对于肌肉减少症患者,在1年观察期内恢复为非肌肉减少症、恢复为可能的肌肉减少症和转变为死亡的估计概率分别为0.016、0.125和0.075

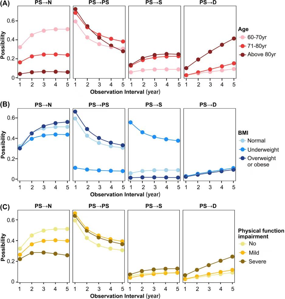
在协变量分析中,年龄、性别、体重指数、身体功能损害、吸烟、高血压和糖尿病都是影响双向转换的重要因素。

进一步进行亚组分析,结果表明随着年龄的增长,从可能的肌肉减少症到非肌肉减少症的恢复过渡到非肌肉减少的可能性降低。

综上所述,在老年人中,肌肉减少症的状态可以在两个方向上过渡,且相当一部分可能或者患有肌肉减少症的患者在自然过程中极有可能转变成健康状态。同时,研究团队发现包括年龄、BMI和身体功能损害在内的重要因素对疾病状态的双向转换具有显著的影响。

近年来关于Charls数据库挖掘的文章越来越多,其中不少文章用完美思路拿下SCI 9分+!想要了解更多公共数据库挖掘思路不妨关注公共数据库与孟德尔随机化公众号,我们不仅分享更多前沿的研究思路,还会分享独特的创新方法!

后   记

今天分享的这篇文章最大的亮点就是使用了多状态马尔可夫模型(MSM)来分析和预测肌肉减少症状态之间的转变概率,这种方法在健康领域的应用相对较新,不仅能够动态预测不同疾病状态之间的转变概率,还能评估影响因素。对于想要挖掘、分析慢性疾病的来说,MSM是一个不错的选择。


评论

收银台

订单信息

应付金额 积分

模块介绍

请加我们助教二维码或加入Zstats使用群
Zstats交流群

Zstats交流群

助教二维码

联系助教

选择支付方式

请输入助教告诉您的积分券

如果不填写积分券,将直接使用当前余额支付

正在创建订单...

请稍候,正在为您生成支付订单

支付二维码

请使用扫描二维码完成支付

等待支付中...

二维码获取失败

支付二维码获取失败,请点击重新获取

正在处理余额支付...

请稍候,正在为您完成支付

正在处理充值并支付...

正在使用积分券兑换,然后完成支付 正在使用当前余额完成支付

支付成功!

您的订单已支付完成,页面将在 秒后自动关闭

支付失败

支付过程中出现错误,请重新选择支付方式

平台说明