公众号
医学论文与统计分析公众号
扫码关注公众号

统计咨询
添加助教微信即可咨询
添加助教微信即可咨询

意见反馈
邮箱:17357190071@163.com
微信:aq566665

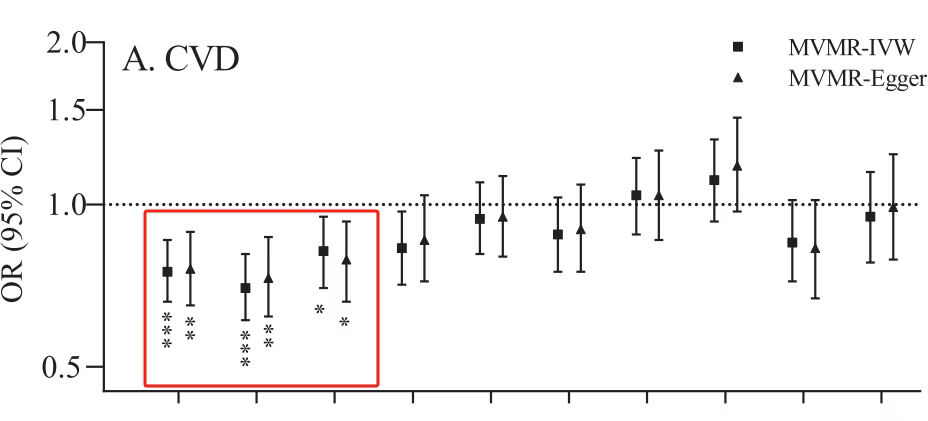
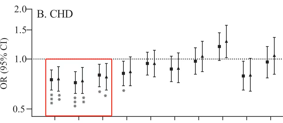
创新“孟德尔随机化”思路,非线性MR方法(IF=9.8)文章

Administrator
发布于 2025-10-15 / 78 阅读
0
0

评论

收银台

订单信息

应付金额 积分

模块介绍

请加我们助教二维码或加入Zstats使用群
Zstats交流群

Zstats交流群

助教二维码

联系助教

选择支付方式

请输入助教告诉您的积分券

如果不填写积分券,将直接使用当前余额支付

正在创建订单...

请稍候,正在为您生成支付订单

支付二维码

请使用扫描二维码完成支付

等待支付中...

二维码获取失败

支付二维码获取失败,请点击重新获取

正在处理余额支付...

请稍候,正在为您完成支付

正在处理充值并支付...

正在使用积分券兑换,然后完成支付 正在使用当前余额完成支付

支付成功!

您的订单已支付完成,页面将在 秒后自动关闭

支付失败

支付过程中出现错误,请重新选择支付方式

平台说明