公众号
医学论文与统计分析公众号
扫码关注公众号

统计咨询
添加助教微信即可咨询
添加助教微信即可咨询

意见反馈
邮箱:17357190071@163.com
微信:aq566665

IF=12.5!恭喜东大联合NHANES稀有指标PHDI+Meta分析,登顶一区Top

Administrator
发布于 2025-10-15 / 7 阅读
0
0

01 NHANES前沿指标聚焦

近年来,一个旨在同步优化人类健康与地球环境的膳食评估工具——行星健康饮食指数(PHDI),正迅速成为营养流行病学与慢性病研究领域的新焦点。

  • PHDI指标简介

PHDI是基于EAT–Lancet委员会提出的“行星健康饮食”框架所建立的量化指标,用于评估个体饮食模式与可持续健康饮食目标的符合程度。

该指数综合考虑了谷物、蔬菜、水果、乳制品、动物性蛋白、植物性蛋白、添加糖和脂肪等多种食物组的摄入情况,既反映了饮食对个体健康的影响,也兼顾对环境可持续性的要求。

指标判定标准:

PHDI-US由16个组成部分组成,总分可能为150分,具体组成部分和评分标准如下图:

指标数据在郑老师团队开发的NHANES Online平台现可一键提取和分析。详情可见:行星健康饮食指数 (PHDI)

02 论文解读

2025年9月5日,东南大学学者联合NHANESUKB数据库,在期刊《Science Advances》(医学一区Top,IF=12.5)发表了一篇题为:“Planetary Health Diet and risk of mortality and chronic diseases: Results from US NHANES, UK Biobank, and a meta-analysis”的研究论文。
本研究旨在探讨坚
持行星健康饮食(PHD)与全因及特定死亡率之间的关联,并评估其对减少温室气体排放的作用。

风暴统计公共数据库公众号回复“ 原文”即可获得文献PDF等资料。如需试用NHANES Online平台,欢迎添加郑老师助教vx:aq566665

研究背景

PHD是一种由EAT-Lancet委员会提出的参考饮食模式,旨在通过调整膳食减轻相关的温室气体排放及其环境影响,并促进人类健康。

既往研究未能明确该饮食模式与癌症、心血管疾病风险的关联,因此需进一步研究PHD与健康结果之间的关联。

数据来源

研究数据主要来源于两个前瞻性队列:

  • 美国NHANES(1999-2018年),共纳入42,947名20岁及以上成年人;

  • 英国UKB,共纳入125,372名40-69岁参与者。

此外,荟萃分析部分则通过截至2025年4月的系统文献检索与筛选,最终纳入了37项符合条件的前瞻性队列研究。

研究方法

1.队列研究:

研究基于24小时膳食回顾数据计算PHD评分,采用Cox回归模型和RCS曲线探究PHD评分与健康结局之间的关联。此外,还进行敏感性分析以验证结果稳健性。

2.荟萃分析:

研究采用随机或固定效应模型合并风险比,并使用Begg's检验和Egger's检验评估偏倚,同时进行了剂量-反应分析PHD评分与健康结局之间的关联。

主要研究结果

PHD评分与多种健康结局及环境影响之间存在显著关联。
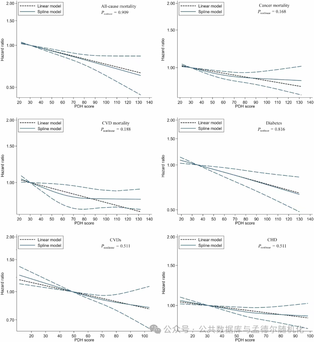
研究结果显示,PHD评分与参与者全因死亡率之间呈显著线性负相关。具体而言,在NHANES和UKB队列中,与PHD评分最低分位组相比,最高分位组的全因死亡率分别降低23%和16%。

同时,UKB队列进一步表明,PHD评分与癌症(HR=0.84)及呼吸系统疾病死亡率(HR=0.39)降低也显著相关。

图1 Cox分析结果

模型1:调整了年龄和性别;

模型2:进一步调整了总能量摄入、种族、教育水平、吸烟、酗酒、收入水平、高血压病史和糖尿病史;

模型3:额外调整BMI

图2 RCS分析结果

其中,在PHD饮食模式中,对温室气体排放贡献量最大的食物是红肉及其制品

图3 环境影响分析结果

荟萃分析的结果进一步佐证了上述研究,结果显示,与最低PHD评分相比,最高PHD评分参与者的全因死亡率和癌症死亡率分别下降21%和11%。

同时,还进一步发现,较高的PHD评分也与多种慢性疾病死亡率下降相关,包括结直肠癌、肺癌、心血管疾病、冠心病、糖尿病和中风等。

图4 荟萃分析结果


研究结论

基于大规模前瞻性队列和综合性荟萃分析的研究表明,坚持行星健康饮食模式与较低的全因、特定死亡率以及多种主要慢性病的发病风险显著相关。并且,研究还证实了其在减少温室气体排放方面的环境协同效益。


评论

收银台

订单信息

应付金额 积分

模块介绍

请加我们助教二维码或加入Zstats使用群
Zstats交流群

Zstats交流群

助教二维码

联系助教

选择支付方式

请输入助教告诉您的积分券

如果不填写积分券,将直接使用当前余额支付

正在创建订单...

请稍候,正在为您生成支付订单

支付二维码

请使用扫描二维码完成支付

等待支付中...

二维码获取失败

支付二维码获取失败,请点击重新获取

正在处理余额支付...

请稍候,正在为您完成支付

正在处理充值并支付...

正在使用积分券兑换,然后完成支付 正在使用当前余额完成支付

支付成功!

您的订单已支付完成,页面将在 秒后自动关闭

支付失败

支付过程中出现错误,请重新选择支付方式

平台说明