公众号
“医学论文与统计分析”公众号
扫码关注公众号

统计咨询
“公共数据库与孟德尔随机化”公众号
扫码关注公众号

意见反馈
邮箱:17357190071@163.com
微信:aq566665

不可思议!中国学者用Charls构建预测模型,AUC<0.7依旧发二区!

Administrator
发布于 2025-08-20 / 29 阅读
0
0

老年抑郁症是老年人常见精神健康问题之一,严重损害老年患者的生活质量和社会功能。据统计,全球约有7%的老年人患有抑郁障碍,其中10~15%的人显示出临床意义上的抑郁症状(DS)。

开发预测模型可用于动态评估老年人的 DS 风险,进而减少老年人患抑郁症风险。不过,先前研究主要集中在识别与 DS 相关的风险因素上,尚未建立老年人群 DS 的风险预测模型。

2024年9月15日,中国学者期刊《Journal of Affective Disordersced》(医学二区,IF=4.9)发表了一篇题为Development and validation of a nomogram to predict the depressive symptoms among older adults:A national survey in China”研究论文,旨在开发和验证一种筛查老年人群的 DS 的预测模型,并进一步评估其有效性和临床应用价值。

研究结果表明,筛查老年人抑郁症状的预测模型具有良好的评估性能,可作为预测老年人抑郁症的可靠工具。

在公共数据库与孟德尔随机化公众号回复“原文”即可获得文献PDF等资料,如果进一步需要CHARLS数据库方法学习请联系郑老师团队,微信号:aq566665

研究团队纳入了中国健康与退休纵向研究(CHARLS)数据库 2018 年中 3396 名年龄≥60岁符合条件的参与者,平均年龄为 68.25 岁。其中开发组和验证组分别包括 2379 名和 1017 名参与者。同时,使用CESD-10量表和日常生活活动量表 (ADL)对参与者进行评估。

通过单因素分析选择预测因素,然后使用多因素 logistic 回归建立预测模型。此外,使用受试者工作特征(ROC)曲线、Hosmer-Lemeshow 检验和决策曲线分析 (DCA) 评估该预测模型的区分度、校准度和临床有效性。

图1 本研究中受访者的选择过程流程图

筛选预测因素

单因素分析结果显示,开发组中 DS 组与非 DS 组在性别、居住地、教育程度、高血压、血脂异常、糖尿病、自评健康状况(SRH)和 ADL 残疾方面的差异有统计学意义。

此外,研究团队还观察到性别、居住地、SRH 和 ADL 残疾在验证组中也存在显著差异。

表1 开发组和验证组的基线特征

多因素 logistic 回归结果显示,女性、农村居住地、血脂异常、SRH 一般或较差以及 ADL 残疾者与 DS 呈正相关,并且结果不存在多重共线性。

表2 开发组中抑郁症状预测因子的多变量 logistic 回归分析

评估预测模型

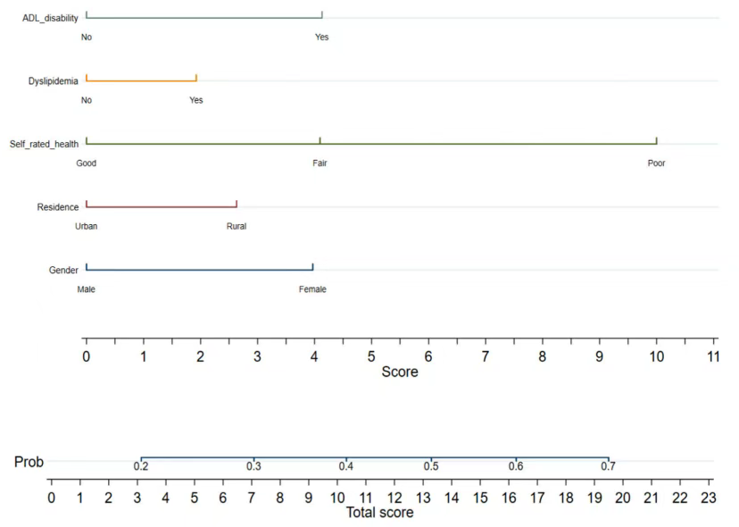
基于 logistic 回归结果,构建了中国老年人 DS 预测模型,包括性别、居住地、血脂异常、自评健康状况和 ADL 残疾 5 个因素。

图2 预测 DS 风险的预测模型

ROC分析结果显示,开发组的 AUC 为 0.684,验证组的 AUC 为 0.687,P 值为 0.754,考虑到预测因素的可用性和成本,研究团队认为该模型具有诊断能力

图3 开发组和验证组中 DS 预测变量的 ROC 分析

同时,Hosmer-Lemeshow 检验表明模型准确,DCA 表现出良好的临床应用价值。

综上所述,研究团队开发的用于预测老年人群抑郁症状的预测模型,具有良好的预测性能,可作为预测老年人抑郁症的可靠工具。

如果你也对预测模型感兴趣,并且想要通过挖掘数据库实现快速发表高分文章,不妨关注“公共数据库与孟德尔随机化”公众号,我们将持续分享更多高分发文思路和分析的小技巧!


评论

收银台

订单信息

应付金额 积分

模块介绍

请加我们助教二维码或加入Zstats使用群
Zstats交流群

Zstats交流群

助教二维码

联系助教

选择支付方式

请输入助教告诉您的积分券

如果不填写积分券,将直接使用当前余额支付

正在创建订单...

请稍候,正在为您生成支付订单

支付二维码

请使用扫描二维码完成支付

等待支付中...

二维码获取失败

支付二维码获取失败,请点击重新获取

正在处理余额支付...

请稍候,正在为您完成支付

正在处理充值并支付...

正在使用积分券兑换,然后完成支付 正在使用当前余额完成支付

支付成功!

您的订单已支付完成,页面将在 秒后自动关闭

支付失败

支付过程中出现错误,请重新选择支付方式

平台说明