公众号
医学论文与统计分析公众号
扫码关注公众号

统计咨询
添加助教微信即可咨询
添加助教微信即可咨询

意见反馈
邮箱:17357190071@163.com
微信:aq566665

IF=8.5 MIMIC-IV高阶玩法!中国用新指标SHR+机器学习拿一区top,思路太牛了

Administrator
发布于 2025-09-01 / 52 阅读
0
0

MIMIC-IV 发文难?那是你还没遇到对的思路!如今机器学习+数据库挖掘的文章层出不穷,今天介绍的这篇文章是在MIMIC-IV数据库的基础上,用了一个新指标—应激性高血糖比(SHR),结合机器学习构建预测模型,拿下一区8分+!

2024年5月9日,暨南大学的学者用MIMIC-IV 数据库,在期刊《Cardiovascular Diabetology》(医学一区top,IF=8.5)发表题为Association between the stress hyperglycemia ratio and 28-day all-cause mortality in critically ill patients with sepsis: a retrospective cohort study and predictive model establishment based on machine learning ”研究论文,旨在探讨应激性高血糖比(SHR)与脓毒症危重患者不良结局之间的关联。

研究结果表明,无论是否存在 2 型糖尿病,SHR 与脓毒症危重患者的28 全因死亡率和住院死亡率呈 U 型关系。同时,SHR可作为脓毒症危重患者的不良结局预测指标。

公共数据库与孟德尔随机化公众号回复“原文”即可获得文献PDF等资料

简单来说,脓毒症是人体对感染产生炎症反应,当炎症反应失控,不只是感染起始的脏器,而其他组织脏器也会引起损伤,造成致命性的器官功能障碍。据统计,全球每年超过1100万人死于脓毒症,约占全球死亡人数的1/5,而且有相当多的死亡者为儿童。

在先前的研究中,应激性高血糖比(SHR)可用于评估应激相关高血糖与疾病严重程度的关系,可以作为各种心脑血管疾病不良结局的可靠预测指标。 

两个队列研究SHR指数与脓毒症的关联

本项研究使用MIMIC-IV的数据,最终纳入2,312名年龄18岁~90岁、ICU时间超过24h且诊断为脓毒症的患者,60.38%为男性。根据SHR的四分位数,研究人群被分为四组。

SHR计算方法为SHR=ABG(mg/dL)/[28.7×HbA1c(%)−46.7]

主要结局是28天全因死亡率,次要结局是住院死亡率。

‍初步分析结果显示,SHR指数越高,28天死亡率和住院死亡率越高。

在随后的RCS分析中,研究团队根据混杂因素进行了调整。研究结果与主要分析结果一致,均表明SHR与死亡风险之间存在U型关联。

在随后的亚组分析中,无论协变量是否调整,SHR指数最高的人群始终表现出最高的死亡风险。这一发现表明,无论基线水平如何,较高的SHR指数与危重脓毒症患者的28天死亡风险增加相关。

用机器学习法构建预测模型

首先用 Boruta 算法评估SHR的预测能力,绿色区域中的变量被标识为重要特征,红色区域中的变量被标识为不重要特征。由下图可知,SHR位于绿色区域,在特征选择中表现出较高的Z值。

这意味着SHR可能在脓毒症危重患者不良结局发挥重要作用。

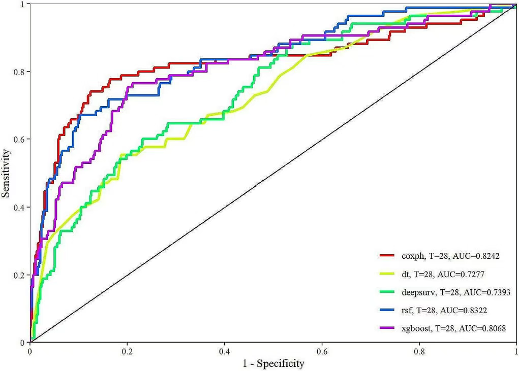
进一步使用机器学习算法建立预测模型,将变量SHR纳入各种机器学习算法,结果表明这些预测模型都表现出良好的性能,其中rsf算法构建的模型表现最佳(AUC=0.8322)。

可以合理推断,应激性高血糖比率(SHR)可能是本研究中一个重要的预测指标或影响因素。

综上所述,该研究证实无论是否存在 2 型糖尿病,SHR 与脓毒症危重患者的 28 天全因死亡率和住院死亡率呈 U 型关系,即较高的SHR与不良事件的风险增加显著相关。同时研究团队使用机器学习算法得出,SHR 可用于预测脓毒症危重患者的不良结局。

今天这篇一区佳作可算是把MIMIC-IV数据库“玩明白了”,这种公共数据挖掘与机器学习相结合,探究疾病与临床指标之间的相关性的思路非常值得我们学习!想要了解更多发文思路请关注“公共数据库与孟德尔随机化”公众号,更多高分文章等你来看!

后   记

今天这篇文章对MIMIC-IV数据库中的脓毒症危重患者进行综合分析,首次揭示了危重症脓毒血症患者的应激性高血糖比与不良结局之间的关系,最大的亮点在于使用机器学习模型发现了对不良结局具有重要影响的临床指标。


评论

收银台

订单信息

应付金额 积分

模块介绍

请加我们助教二维码或加入Zstats使用群
Zstats交流群

Zstats交流群

助教二维码

联系助教

选择支付方式

请输入助教告诉您的积分券

如果不填写积分券,将直接使用当前余额支付

正在创建订单...

请稍候,正在为您生成支付订单

支付二维码

请使用扫描二维码完成支付

等待支付中...

二维码获取失败

支付二维码获取失败,请点击重新获取

正在处理余额支付...

请稍候,正在为您完成支付

正在处理充值并支付...

正在使用积分券兑换,然后完成支付 正在使用当前余额完成支付

支付成功!

您的订单已支付完成,页面将在 秒后自动关闭

支付失败

支付过程中出现错误,请重新选择支付方式

平台说明