公众号
“医学论文与统计分析”公众号
扫码关注公众号

统计咨询
“公共数据库与孟德尔随机化”公众号
扫码关注公众号

意见反馈
邮箱:17357190071@163.com
微信:aq566665

新文速递!北协和联动NHANES衰老指标+机器学习,发文二区(IF 5.4)

Administrator
发布于 2025-10-10 / 9 阅读
0
0

01NHANES高分指标

  • 表型年龄——PHENOAGE

一个用于评估个体生物学年龄的指标,反映了个体的生理状态与实际年龄之间的关系。它综合考虑了多个健康指标和生理参数,因此可以用来更好地反映个体的健康状况。

指标计算方式:

表型年龄是使用实际年龄和9个生物标志物(白蛋白、肌酐、葡萄糖、[log] C 反应蛋白 [CRP]、淋巴细胞百分比、平均细胞体积、红细胞分布宽度、碱性磷酸酶和白细胞计数)计算的。这些生物标志物是使用基于10倍交叉验证的死亡率比例风险弹性网模型选择的。

  • 表型年龄(加速)——PHENOAGE_ADVANCE

指个体的生物学年龄与实际年龄之间的差异,用于衡量老化速度。

计算方法:PHENOAGE_ADVANCE计算为实际年龄回归PhenoAge的残差。

表型年龄相关指标数据,在郑老师团队开发的NHANES Online平台均可一键提取和分析,详情可见:表型年龄和表型年龄加速(加速)

02论文解读

2025年9月11日,北京协和医学院学者用NHANES数据库,在期刊《Geroscience》(医学二区,IF=5.4)发表了一篇题为:“Phenotypic age acceleration as a novel predictor of benign prostatic hyperplasia: a prospective cohort study”的研究论文,旨在探究表型年龄和表型年龄加速对良性前列腺增生(BPH)的预测价值,并开发一个基于机器学习的风险预测模型,为精准预防和临床管理策略提供信息。
研究表明,表型年龄加速是BPH的一个独立的、可改变的危险因素,具有很强的预测价值。

风暴统计公共数据库公众号回复“ 原文”即可获得文献PDF等资料。如需试用NHANES Online平台,欢迎添加郑老师助教vx:aq566665

研究背景

良性前列腺增生(BPH)是一种常见于老年男性的泌尿系统疾病,全球疾病负担逐年加重。传统上认为年龄是其主要风险因素,但近年来BPH发病呈现年轻化趋势,仅凭实际年龄已不足以解释其发病机制。

数据来源

研究基于美国国家健康与营养调查(NHANES)2001–2008年的数据,经过纳排,最终纳入784名具有完整生物标志物数据的男性参与者,其中621例为BPH患者。

此外,外部验证数据来源于NHANES 2001–2002年的数据。

研究方法

研究利用Logistic回归分析表型年龄加速与BPH风险关联。

在构建预测模型方面,研究通过递归特征消除 (RFE)筛选与BPH相关的特征,构建并比较多种机器学习模型(随机森林、Logistic回归XGBoost)预测性能,并利用SHAP值进行特征重要性解释。

主要研究结果

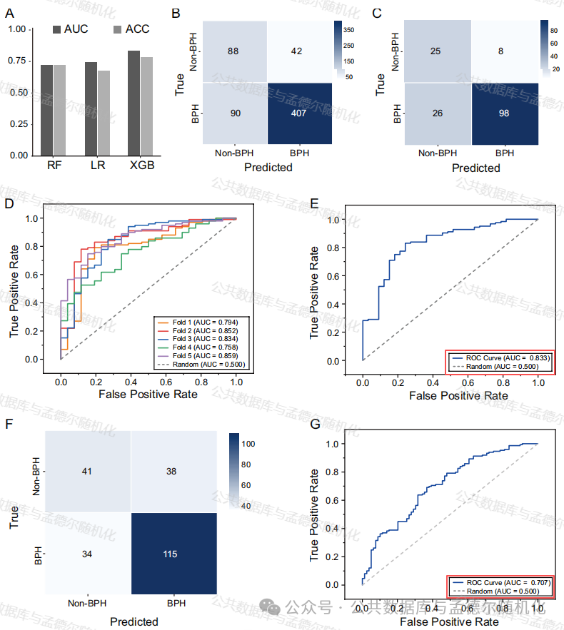
研究通过RFE,共筛选出34个可能与 BPH 相关的特征。

基于此,研究通过三种机器学习算法构建预测模型,其中,XGBoost模型表现最佳(测试集AUC=0.833,验证集AUC=0.707)。

图1 机器学习模型的开发和验证

Logistic回归结果显示,表型年龄与实际年龄显著正相关(r = 0.833),而表型年龄加速与BPH风险显著正相关。

图2 表型年龄动态变化及其与BPH风险的关联

基于上述发现,研究进一步用表型年龄替换了实际年龄,结果显示,XGBoost 模型AUC提升至0.853。

这意味着,相较于实际年龄,表型年龄具有更高的预测效能。

此外,SHAP分析显示,表型年龄是第三重要的预测因子,仅次于癌症史和铅暴露。

图3 使用表型年龄调整XGBoost模型的可解释风险分层

研究结论

表型年龄加速是BPH的独立风险因素,具有良好的预测能力。同时,结合多生物标志物(例如白蛋白和 CRP)的机器学习模型,能有效提升BPH的风险分层精度,尤其适用于年轻人群的早期识别。


评论

收银台

订单信息

应付金额 积分

模块介绍

请加我们助教二维码或加入Zstats使用群
Zstats交流群

Zstats交流群

助教二维码

联系助教

选择支付方式

请输入助教告诉您的积分券

如果不填写积分券,将直接使用当前余额支付

正在创建订单...

请稍候,正在为您生成支付订单

支付二维码

请使用扫描二维码完成支付

等待支付中...

二维码获取失败

支付二维码获取失败,请点击重新获取

正在处理余额支付...

请稍候,正在为您完成支付

正在处理充值并支付...

正在使用积分券兑换,然后完成支付 正在使用当前余额完成支付

支付成功!

您的订单已支付完成,页面将在 秒后自动关闭

支付失败

支付过程中出现错误,请重新选择支付方式

平台说明